
机器学习的本构建模与有限元联姻实现锂金属变形的精准刻画
近期,国际力学权威期刊《J. Mech. Phys. Solids》刊登了Q彩网魏宇杰研究员科研团队在构建数据驱动的材料本构模型及有限元结合方面的研究进展。论文题目是《物理机理驱动的机器学习本构模型及其有限元集成方法准确刻画锂金属温度和率相关变形行为》。他们在国际上首次提出并实现了基于物理机理驱动的机器学习本构建模与有限元结合的计算方法,并将该计算方法应用于受到广泛关注的锂金属,实现了它在不同温度和变形场景下的力学行为精准描述。
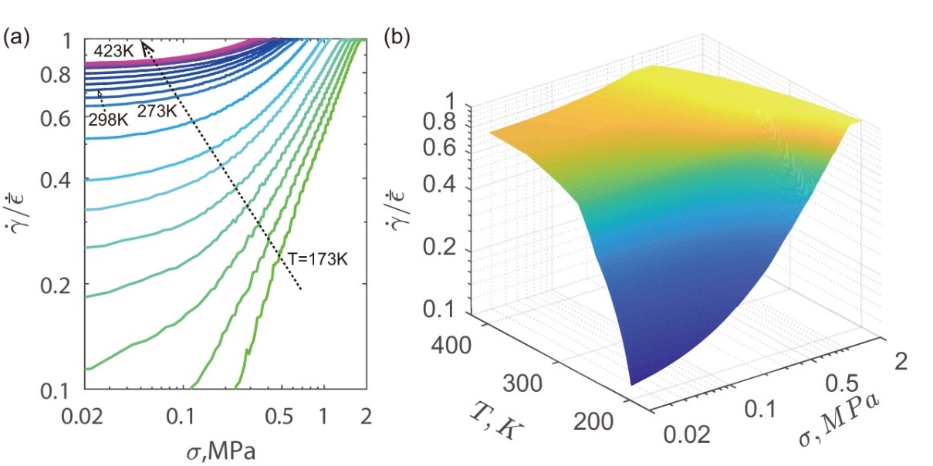
锂金属电极由于高的理论电容量(3860 mAh/g)、低密度和低的电势(约-3.04 V),是最理想的锂电池负极材料。准确地认识和表征锂金属负极温度、应力和率相关的变形行为是实现锂金属电池寿命和可靠性提升的关键。然而,由于涉及到温度场、力场、率效应等多物理场多因素之间的相互作用,以及非常有限的实验数据,目前仍缺乏可靠的物理模型来描述锂金属温度-应力-率-变形行为。该团队通过将机器学习方法与物理机理相结合,构建了一种新的数据驱动的本构模型。如图14所示,该模型不仅能够精确地复现锂金属不同温度和应变率下的应力应变实验结果,而且能够在更大的温度和应变率范围内,实现锂金属温度-应力-率-变形行为的预测。同时,该机器学习本构模型可以有效地和有限元计算方法联姻,充分利用传统有限元计算在多物理场、复杂边界和变形系统的数值模拟优势。这一工作为解决工程材料涉及温度、应力、率、变形等行为的精确描述和高效数值方法发展提供了创新思路。Q彩网助理研究员温济慈为第一作者,北京信息科技大学邹庆荣为第二作者,魏宇杰研究员为通讯作者。
以上研究获得国家自然科学基金基础科学中心项目“非线性力学的多尺度问题研究” (基金号11988102) 资助。论文链接:
https://doi.org/10.1016/j.jmps.2021.104481。

图14: 物理驱动-机器学习本构模型预测锂金属不同温度、应力控制下的变形率,包含了锂金属的全服役温度和服役载荷区间。
附件下载: