
近期,《Phys. Fluids》刊登了北京大学陈十一研究团队赵耀民教授课题组关于含颗粒湍流大涡模拟亚格子模型的研究进展。 传统的大涡模拟(LES)亚格子应力模型难以精确预测湍流中颗粒的统计量,特别是在描述小Stokes数颗粒的加速度间歇性和惯性聚集现象时往往存在较大误差。近年来,数据驱动的湍流...
2022-09-10
《J. Fluid Mech.》刊登了南方科技大学陈十一研究团队万敏平教授课题组关于城市冠层湍流的模型研究进展。 城市冠层湍流是大气边界层湍流中从地面到建筑顶部附近的一部分流动 (图7)。城市冠层湍流与城市居住空间的空气对流息息相关,是城市大气环境的重要组成。对城市冠层湍流进行建模将有助于评...
2022-09-10
近期,《J. Fluid Mech.》报道了北京大学陈十一研究团队杨越教授课题组在流体涡管纽结演化路径方面研究进展。 纽结结构存在于日常生活与物理、化学、生物等系统中,其数学定义为三维空间中的简单闭曲线。在流体力学中,旋涡纽结复杂的拓扑和几何形态赋予其演化中丰富的多尺度涡动力学现象,因此...
2022-09-10
目前学术界对于小火焰模型的燃烧大涡模拟计算大多数是基于低马赫数的求解器,但是低马赫数方法计算燃烧问题时存在其固有的缺陷。第一,它不能求解高速的燃烧流动,例如,超燃冲压发动机燃烧过程;第二,它不能描述声场和火焰的相互作用,无法预测热声不稳定性。中国科学院Q彩网何国威研究团队...
2022-09-10
完全解析近壁小尺度湍流结构的大涡模拟和直接数值模拟,计算量高,难以应用于自然界和工程实际中的高雷诺数壁湍流。采用模型模化而非直接解析近壁小尺度湍流是一种广泛采用的替代方案。壁面律是一种常用的壁模型,其通常由两部分组成,适用于黏性子区的线性律和适用于对数区的对数律,但在线性...
2022-09-10
量纲分析基于量纲研究变量之间的关系,用无量纲量描述物理现象和规律,是研究复杂系统的有效工具。经典量纲分析的两个弱点是:(1)无量纲量的形式不唯一,(2)无法衡量各无量纲量的相对重要程度。数据驱动的量纲分析通过将经典的量纲分析与活跃子空间理论结合,弥补了上述两个缺点。数据驱动...
2022-05-11
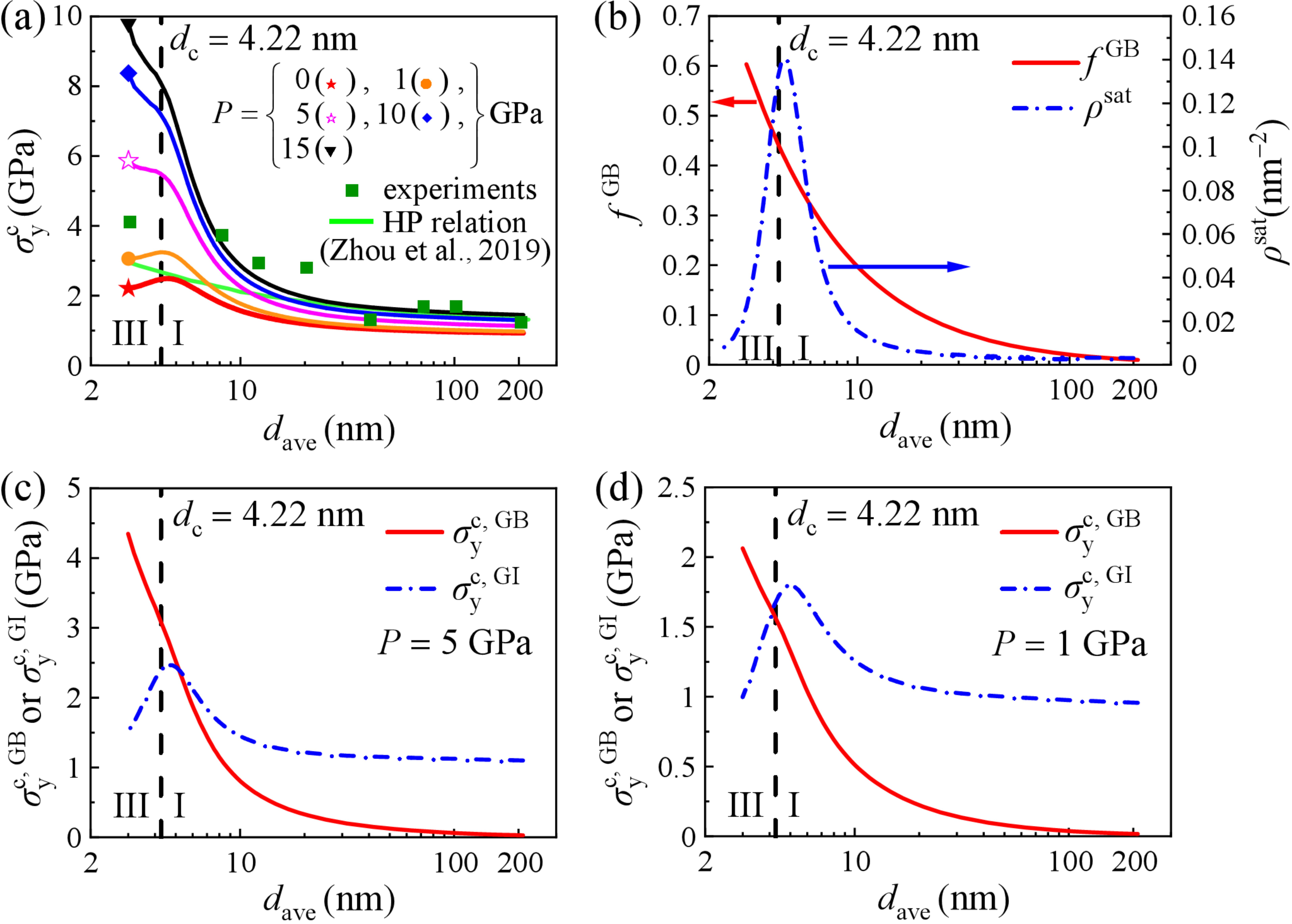
在常压情况下,纳米多晶金属的晶粒尺寸软化现象不可避免。但近期的实验显示,在高压下纳米多晶镍的屈服强度会随着晶粒尺寸的减小而单调增大,即高压诱导了反Hall-Petch现象消失。目前对这一特殊现象的理论研究存在空缺。 北京大学工学院力学与工程科学系易新课题组以该组提出的位错存储模型(J....
2022-05-11
北京大学工学院段慧玲教授课题组在受辐照金属塑性变形的多尺度研究领域取得重要进展,发表在《J. Mech. Phys. Solids》,《Int. J. Plast.》和《Acta Mech. Sin.》等力学领域重要期刊。 辐照缺陷对金属材料力学性能影响的研究是一个典型的多尺度问题。在微观尺度下,辐照缺陷会阻碍位错运动从而...
2022-05-11