

近期,《Proceedings of the National Academy of Sciences》(美国国家科学院院刊)刊登了清华大学能源与动力工程系和燃烧能源中心孙超老师课题组王子奇等人关于移动固-液相变界面演化与周围湍流动力学耦合问题的研究工作,论文的题目为《流体的动力学特性如何影响冰的生长过程》(How the gro...
2021-06-05
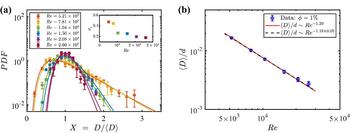
近期,《Journal of Fluid Mechanics》刊登了清华大学燃烧能源中心、能源与动力工程系和航天航空学院的孙超课题组易磊等人关于油水两相湍流有效粘度与液滴统计特性的研究工作,论文的题目为《油水两组分两相湍流的流变特性与液滴统计特性》(Global and local statistics in turbulent emulsion...
2021-06-05
近期,《Proceedings of the National Academy of Sciences》(美国国家科学院院刊)刊登了清华大学燃烧能源中心、能源与动力工程系和航天航空学院的孙超课题组吕思佳等人关于膜态沸腾状态的多组分液滴蒸发动力学的研究工作。论文的题目为《多组分莱顿弗罗斯特液滴的爆炸沸腾》(On explosive b...
2021-06-05
近期,《Journal of Fluid Mechanics》刊登了Q彩网何国威研究员科研团队在湍流/非湍流界面机器学习识别方面的研究进展。论文题目是《应用机器学习探测圆柱尾流中湍流区域》(Using machine learning to detect the turbulent region in flow past a circular cylinder)。 在自...
2021-06-05
近期,北京大学工学院的段慧玲教授课题组在《Journal of Fluid Mechanics》上发表了题为“表面活性剂引起的气液界面三维回流”的论文。 表面活性剂广泛存在于自然界(河流、海洋等)和工业界流体中,吸附在界面上的表面活性剂会由于浓度梯度产生 Marangoni 力,降低气液界面附近的流动性,这严...
2020-10-30
近期,清华大学燃烧能源中心、能源与动力工程系和航天航空学院的孙超教授团队和合作者在《科学进展》 (Science Advances) 上发表了题为“旋转超重力驱动的热湍流”(Supergravitational turbulent thermal convection)的研究论文。《科学进展》是美国科学促进会(AAAS)的开源期刊,是一本涵盖...
2020-10-30
大涡模拟方法是下一代湍流数值预测的工具。近年来,大涡模拟方法的亚格子模型研究取得很大进展,使得该方法在单相不可压缩湍流的数值预测中取得很大成功,可以得到非定常湍流的时空统计性质。大涡模拟方法面临的新挑战之一是湍流与不同过程的耦合,如湍流噪声、多相湍流、湍流燃烧等。这些过程...
2020-10-30
增材制造(Additive Manufacturing)属于一种数字化的制造技术,可制备出传统工艺难以制备的复杂结构,从而实现结构的个性化设计,具有广阔的应用前景。然而,由于增材制造材料微结构不均匀且包含有较多的缺陷,导致材料疲劳性能较差,这大大影响了其工业应用。长寿命服役中,构件要求承受高周...
2020-10-30