
热毛细液滴相互作用机理
液滴或者气泡的运动是大自然和材料制备、晶体生长、化学制药等工业生产中常见的现象,对其运动规律进行研究既有助于我们了解相关的自然现象,又具有巨大的应用价值。热毛细迁移,即由母液温度不均匀引起界面张力差而导致的液滴或气泡的迁移运动,是一种重要的液滴/气泡运动形式。Q彩网微重力实验室也在长期关注这一问题,并且在近期取得数值模拟方面的新进展。
经过国内外科研工作者的努力,对于单滴迁移的理论数值和实验研究已经进行的比较深入了。例如2008年Physics of Fluids (http://dx.doi.org/10.1063/1.2965549)的文章对于不变形单滴的所有控制参数(Ma数、Re数,液滴和母液的粘性比、热扩散率比、密度比、比热之比等)对迁移过程以及迁移速度的影响都进行了详尽的分析。随着实验条件的成熟,该文所揭示的物理规律和结论正逐步得到实验的验证和证实。
通常情况下,两个液滴在相互接近的时候会发生融合,这个现象也被地面上的许多实验所证实。在热毛细力主导下的液滴表现出截然相反的特征:液滴的运动起因于温度场的不均衡,而液滴相互靠近的时候会加剧周围温度场的不均衡,最终影响融合的发生。这种加剧在小Ma数(即热传导占主导)的时候并不明显,因此以往的理论分析一般认为热毛细作用下双滴会发生融合。与之相对的大Ma数(即热对流占主导)情形,和实际实验中的物理参数更为接近,理论分析的方法对此参数范围的研究存在着先天的障碍。因此在开展代价昂贵的上天实验之前,应当首先利用最先进的(state-of-the-art)计算技术和尽可能高的分辨率,采用实际物理参数开展物理分析和方法论上能够自圆其说的数值实验。
中科院Q彩网尹兆华副研究员与教育部教育装备研发中心研究实习员李巧红展开合作,使用Front-tracking方法追踪液滴的运动界面,采用统一的控制方程描述包括液滴和母液在内的全部区域,并且利用有限差分方法在均匀网格上进行离散求解。高效的计算程序有利于在数值实验时采用较为复杂的参数系统,从而得到总体的物理图像(而非针对一次或几次微重力实验)。有鉴于此,研究中引进了新的快速算法(ITri-FFT)对程序中迭代算法进行改进并利用CUDA将程序并行化,最后使程序在高网格分辨率中得到了60多倍的加速。
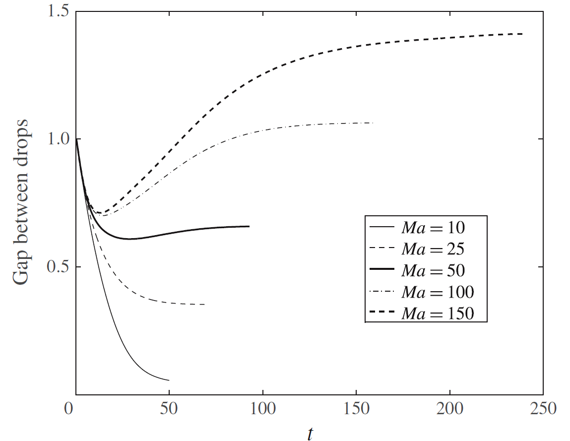
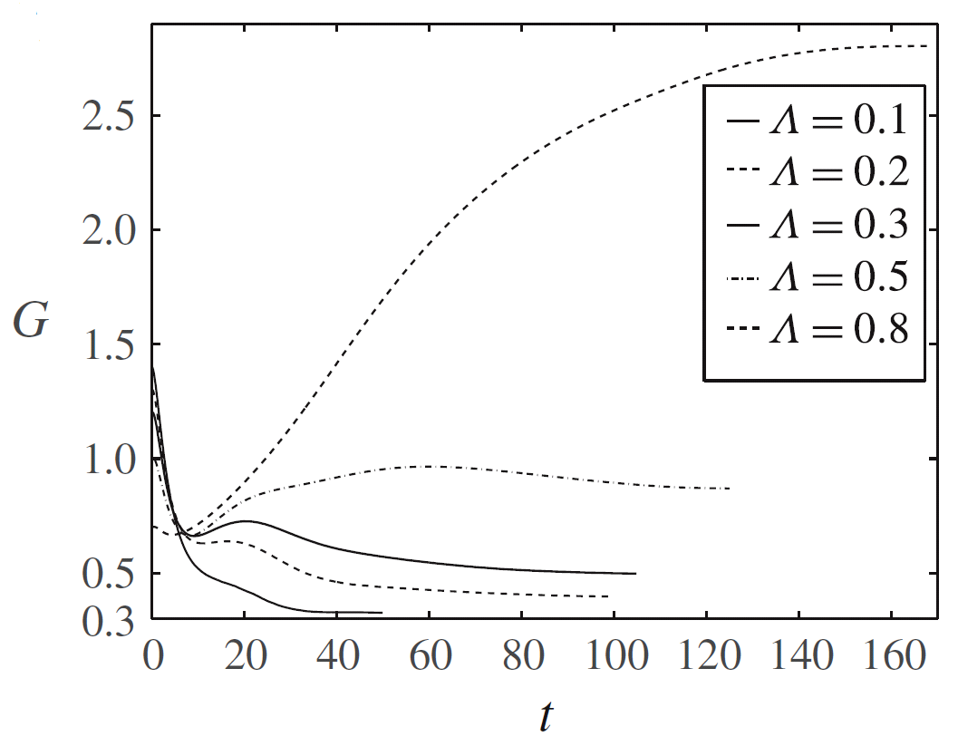
为了在较大Ma数的时候有较强的相互作用,该工作选取了中心连线与温度梯度平行的半径不同的两个液滴(半径较大的液滴在低温端)的情形进行研究,最终在近千次的有效数值实验中挑选八十多个代表性的结果进行总结分析。发现当液滴初始距离足够远,半径比和Re比较小而Ma比较大时,液滴不会发生融合而是经过两者之间的相互作用最终会保持稳定的中心距离以相同的速度一起向高温端运移。该工作还系统地研究了液滴初始中心距离,半径比,Re,Ma,密度比,粘度比,热扩散系数比,比热之比及Ca数对双滴热毛细迁移过程以及最终可能的稳定状态的影响(大Ca数时不容易有稳定状态)。其中讨论的部分参数见下表:


注意左图Ma=100,半径比趋于零的时候间距并非趋于零,而是0.3左右。右图中Ma数变小时两滴间距趋于零,容易发生液滴融合。
相关结果发表于Journal of Fluid Mechanics(http://dx.doi.org/10.1017/jfm.2015.10)。
作者简介:尹兆华博士主要从事流体力学的数值模拟研究,重点在于发展高精度和高效的数值算法解决微重力流体,二维湍流中的关键问题。近十年来获多项国家自然科学基金面上项目和院所创新项目支持。
附件下载: