
非晶合金低温比热波色峰研究取得进展
在太赫兹(THz)频率,玻璃振动谱总是偏离经典德拜模型预测而形成一个过剩的态密度峰。由于服从波色-爱因斯坦分布,这种振动态密度的过剩峰通常被称为波色峰(boson peak)。作为玻璃本征特征之一,波色峰为理解玻璃复杂的结构本质以及丰富的动力学提供了一扇重要的窗口。近期,Q彩网、德国明斯特大学、中国科学院物理研究所等的研究人员通过合作在这一方面取得重要进展。
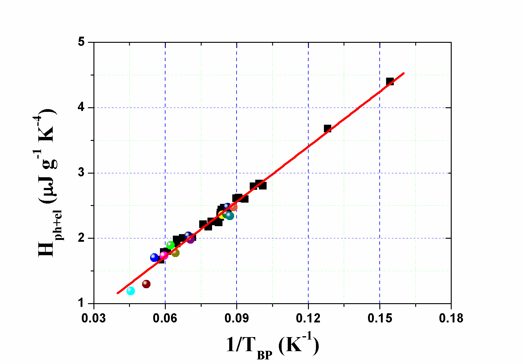
研究人员以一系列非晶合金(金属玻璃)及其对应的晶化产物为模型体系,开展了系统的低温(1.9-100K)比热测量。通过细致分析低温比热的声子和电子贡献,精确地分辨出了各拓扑无序态非晶合金的波色峰位置和强度。他们发现,非晶合金的低温比热波色峰包含过剩的准局域声子散射和背景的电子激活两部分贡献,但前者是主控的。这两种贡献高度耦合,且都依赖于非晶无序结构。基于是否包含电子贡献,他们定义了两种非晶合金波色峰,并考察了这两种波色峰在各拓扑状态非晶合金中的演化规律。研究发现,对于包含电子贡献的非晶合金低温比热波色峰,其强度和位置存在与材料无关的统一线性反比例关系,(图1)。这种反线性关系表明,不同拓扑无序态的非晶合金在波色峰温度或频率时表现出普适的结构软化行为。他们进一步揭示出,通过瞬时剪切模量为媒介,这种波色峰背后的结构软化与非晶合金固-液玻璃态转变时的结构弛豫可能具有类似的结构起源。上述结果,为今后从低频振动奇异“波色峰”角度理解和表征非晶合金的塑性流动奠定了基础。
该研究成果于2017年12月26日发表在应用物理旗舰期刊Applied Physics Letters(http://aip.scitation.org/doi/full/10.1063/1.5016984)。相关研究得到了国家自然科学基金委、中国科学院和德国物理学会的资助。
图1 非晶合金低温比热波色峰强度与位置的普适反线性关系
附件下载: