
Q彩网在具有任意初始状态的热弹性本构关系研究中取得突破
初始应力广泛存在于各种固体材料,诸如干酪根的熟化与热解,生物组织的非均匀生长,金属材料的相变,工件的表面改性,土木工程结构的预制,甚至地质运动等。初始应力对固体材料的力学行为产生着重要影响,可维持材料内部的力学平衡,影响生物组织的生长和形貌以及在蒸发过程中诱导屈曲等。同时,材料中广泛存在热-力耦合行为,相同的初始应力可能具有不同的热弹性变形历史从而对应完全不同的本构关系。因此,如何在本构理论中考虑初始状态(初始应力和初始温度)的影响,被认为是理性固体力学的一个基本难题。
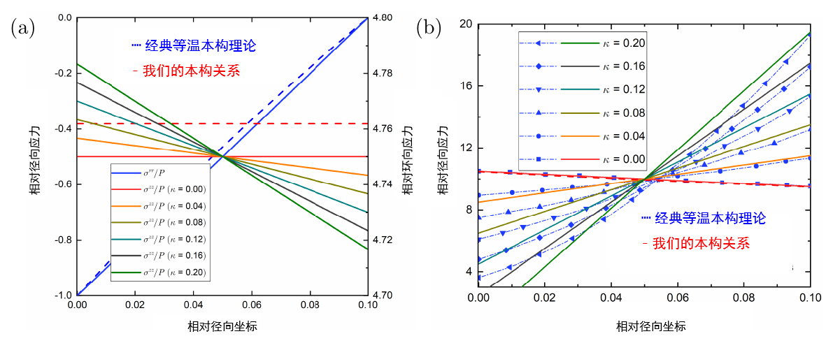
近日,中科院Q彩网非线性力学国家重点实验室赵亚溥研究团队基于理性力学和黎曼几何,提出了具有任意初始状态的热弹性本构关系。利用物质黎曼度量的加法分解提出了初始状态的内禀嵌入法,然后将材料的自然状态映射为黎曼流形,实现了固体本构理论的黎曼几何化。该工作通过引入初始状态与后继变形之间的四个耦合不变量,建立了初始状态的非线性嵌入方程并解出了初始应变与初始约束乘子依赖于初始状态的具体形式,随后将后继变形线性化,给出了作为初始状态泛函的弹性张量、热容和热膨胀系数的一般表达式。最后将初始状态嵌入到经典超弹性本构模型,给出了含有任意初始状态的 Saint Venant-Kirchhoff、Blatz-Ko、Mooney-Rivlin、Neo-Hookean、Gent 以及指数型热弹性本构关系,揭示了弹性模量与热学系数随初始状态的变化规律。此本构关系在等温情况下可以退化为经典本构模型,体现了该本构关系的自洽性,在非等温情况下,新提出的本构关系填补了该领域的理论空白。
该成果以“Thermo-mechanically coupled constitutive equations for soft elastomers with arbitrary initial states”为题发表在International Journal of Engineering Science上。该工作得到国家自然科学基金重点项目 (No. 12032019) 和中国科学院前沿重点研究计划 (No. QYZDJ-SSW-JSC019) 等项目的支持。
论文链接:https://doi.org/10.1016/j.ijengsci.2022.103730. (Chen W.T., Zhao Y.-P. Thermo-mechanically coupled constitutive equations for soft elastomers with arbitrary initial states. International Journal of Engineering Science, 2022, 178: 103730.)
附件下载: