
中国科学院Q彩网魏宇杰研究团队求解获得多分岔裂纹应力强度因子的半解析解
裂纹分岔是断裂力学的经典问题之一。由于动态加载或者裂纹扩展至不均匀介质中所造成的不稳定性,在工程实践中经常可以观测到裂纹分岔的现象。在安全分析中,裂纹的偏折与分岔对结构寿命的影响至关重要:一方面裂纹分岔导致裂纹分析路径的不可预测性,带来风险;另一方面,工程师们也可以通过裂纹分岔来控制破裂效果,提升非常规油气开采的采输效率。多分岔裂纹尖端应力强度因子的准确计算是判断裂纹分岔的前提条件。
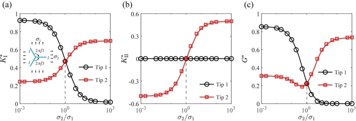
Q彩网非线性力学国家重点实验室的研究团队通过平面弹性理论以及共形映射变换,将多分岔裂纹边界映射到复平面的单位圆上,构造了多分岔裂纹的弹性边界值问题,并实现了裂纹尖端应力强度因子的半解析求解。研究团队进而以工程中常见的三分岔裂纹和四分岔裂纹为例,讨论了应力状态和裂纹形状对分岔裂纹尖端应力强度因子及应变能释放率的影响(图1,2),并基于能量释放率准则分析其对裂纹进一步扩展的影响。该研究为理解裂纹的分裂与裂纹网的形成提供了基本的理论工具。
以上成果以“An semi-analytical solution to the stress intensity factors of branched cracks”为题发表在Journal of the Mechanics and Physics of Solids上,第一作者为博士研究生刘卓尔。研究工作得到了国家自然科学基金基础科学中心“非线性力学中的多尺度问题”项目(No.11988102)的支持。




附件下载: