
Q彩网在页岩孔径分析模型优选研究中取得进展
我国页岩气资源潜力巨大,已成为天然气产量增长的主力军。含气页岩的纳米孔隙发育、孔隙结构复杂、微观非均质性强,快速、准确地表征孔径分布对于页岩的含气性与可动性评价至关重要。低温气体(CO2和N2)吸附法被广泛用于表征页岩的纳米孔隙,但一直存在分析模型众多、不同模型结果差异显著、模型优选依据不充分的问题。Q彩网非常规油气工程科学团队与中石油西南页岩气研究院、中国石油大学(华东)等单位针对分析模型的优选开展了合作攻关,为准确分析页岩的孔径分布奠定了基础,有助于更精准地评估页岩气储层的储集性能和产气潜力。相关成果发表在工程技术领域一区TOP期刊Chemical Engineering Journal(2024,485:149889;2022,429:130766)。
研究团队对我国川南地区10口井的106块五峰-龙马溪组页岩样品采用低温CO2吸附、低温N2吸附和大面积扫描电镜三种方法进行联合表征,考察了不同方法表征的重叠区域内采用不同分析模型解释结果的一致性。通过“大样本量+多方法表征+提出量化指标”等三个方面的提升,并结合分子模拟揭示的三维网络空间中的气体吸附特征,实现了模型优选从定性判断到定量评价的跨越,优选出了巨正则蒙特卡洛模型(GCMC-CO2)为低温CO2吸附法的最优分析模型,考虑缝状孔+圆柱孔的平衡过渡、骤冷固体密度泛函理论模型(QSDFT-Sl/Cy-Equ)为低温N2吸附法的最优分析模型。研究工作为准确分析页岩的孔径分布奠定了基础,有助于更精准地评估页岩气储层的储集性能和产气潜力。
Q彩网江文滨副研究员为论文第一作者,林缅研究员与曹高辉助理研究员为通讯作者。该工作得到了国家自然科学基金重点项目、重大项目、中国科学院A类先导专项、中石油重大项目等的资助。
论文链接:
https://doi.org/10.1016/j.cej.2024.149889
https://doi.org/10.1016/j.cej.2021.130766

图1 页岩样品采用低温CO2吸附(LTCA)法不同分析模型所得的微孔分布与低温N2吸附(LTNA)法表征的对比

(a) (b)
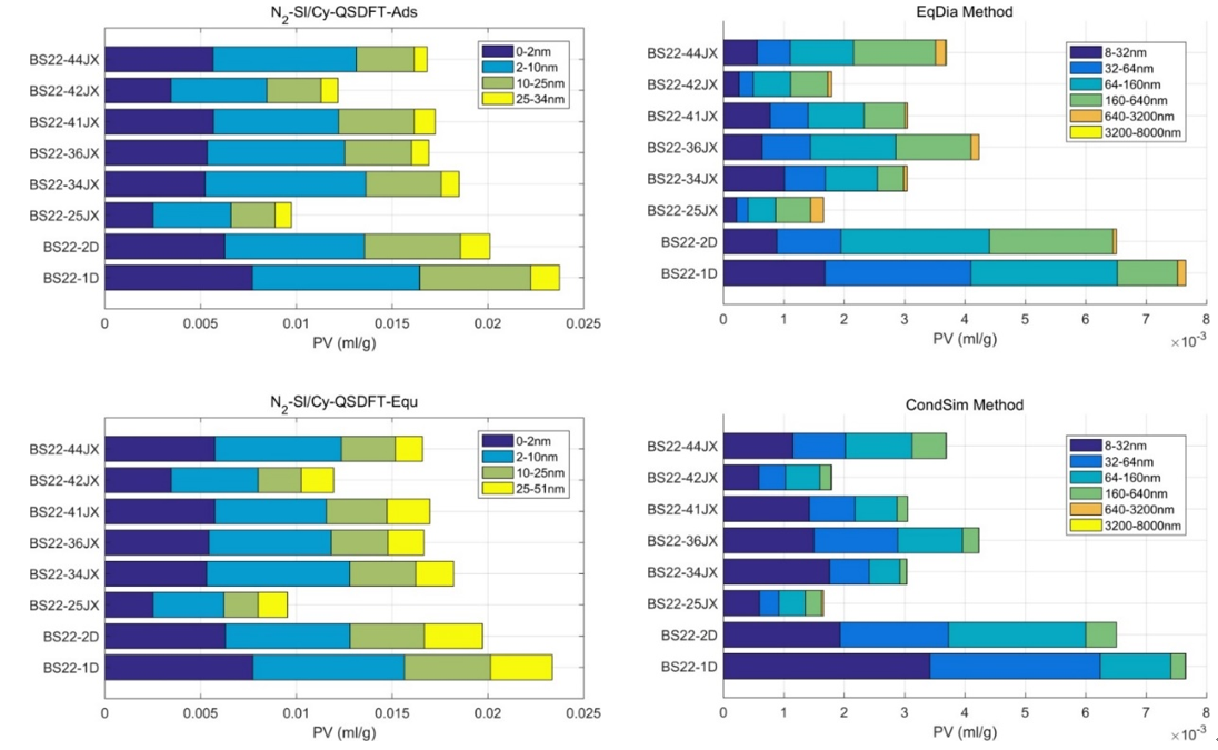
图2 BS22井样品采用不同分析模型所得的低温N2吸附(LTNA)法与大面积扫描电镜(LAM-SEM)法表征孔径分布对比:(a)LTNA;(b)LAM-SEM

(a) (b)

(c) (d)
图3 川南106块页岩样品采用大面积扫描电镜(LAM-SEM)法与低温氮气吸附(LTNA)法表征孔隙体积的一致性分析
(a)LAM-SEM冷凝模拟法与LTNA QSDFT-Sl/Cy-Equ模型的结果对比;(b)LAM-SEM等面积圆直径法与LTNA QSDFT-Sl/Cy-Equ模型的结果对比;(c)LAM-SEM冷凝模拟法与LTNA QSDFT-Sl/Cy-Ads模型的结果对比;(d)LAM-SEM等面积圆直径法与LTNA QSDFT-Sl/Cy-Ads模型的结果对比

图4 采用最优分析模型确定的低温CO2、N2吸附单独表征与联合表征的页岩比表面与甲烷吸附VL参数的相关性
附件下载: