
Q彩网在激波/湍流边界层干扰流动中壁面摩阻放大机制研究方面取得进展
激波/边界层干扰广泛存在于高超声速飞行器及其发动机中,给飞行安全带来极大的威胁和隐患,常伴随着流动分离、激波振荡、壁面高摩阻/热流等现象。壁面摩阻是飞行器设计领域重点关注的气动问题,对气动性能有着重大影响。Q彩网空天飞行器流动数值模拟课题组近期采用直接数值模拟方法研究了高超声速激波/湍流边界层干扰流动中的壁面摩阻特性,推导得到了考虑展向异性的壁面摩阻分解方法,揭示了干扰区壁面摩阻增加的物理机制。该工作以“Wall skin friction analysis in a hypersonic turbulent boundary layer over a compression ramp”为题发表在Journal of Fluid Mechanics期刊上,作者为郭同彪,张吉,朱艳华和李新亮。
研究发现,相比于上游湍流边界层,干扰区壁面摩阻大幅度增加,且呈现显著展向异性,见图1。壁面摩阻的展向谱特性结果显示,上游平板边界层区域,能量峰值对应的展向波长为0.2倍的边界层厚度,对应100个粘性尺度;随着流动进入干扰区,含能波长大幅增加。上游边界层的峰值尺度与壁湍流近壁流向条带一致,而干扰区内峰值尺度与Görtler涡相关。

图1 干扰区附近,时均壁面剪应力分布

图 2干扰区附近壁面剪切应力脉动信号的加权功率谱密度分布云图
该研究以三维雷诺平均N-S方程为出发点,推导得到了基于能量守恒的壁面摩阻Cf分解方法,如下所示,

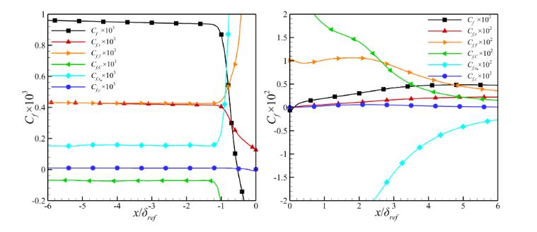
其中,Cf,v与粘性耗散有关,Cf,T与湍动能生成有关,Cf,C与法向对流有关,Cf,x和Cf,z分别与流向和展向不均匀性有关。在上游边界层,Cf,z占比为1.3%;在干扰区,由于Görtler涡的存在,Cf,z占比最高超过20%,表明在研究干扰区摩阻分解时,考虑展向异性是必要的。
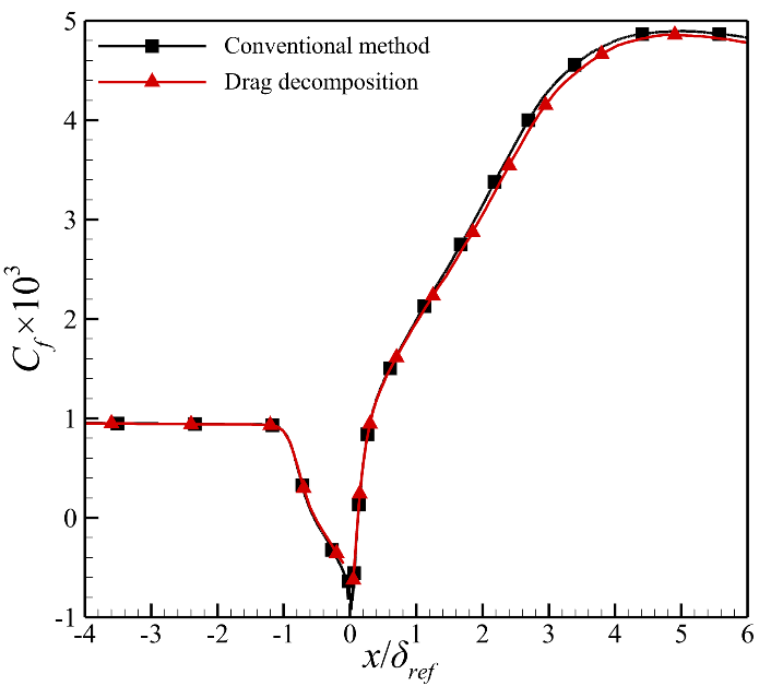
图 3对比了壁面摩擦阻力常规计算方法和分解方法得到的结果,两种方法得到的结果最大误差小于2%,验证了分解方法的正确性。

图3 壁面摩阻系数流向分布。黑线和红线分别为常规方法和分解方法计算结果
在上游边界层,粘性耗散和湍动能生成为摩阻的主要贡献项,法向对流项表现为负贡献,这是由于边界层的发展随着带来正的法向速度。在干扰区,多个分量值超过总摩阻Cf,其中粘性项、湍流项和法向对流向产生正贡献。干扰区密度和雷诺应力增强,使得湍流项增加;密度和下洗强度增加,致使法向对流项增加;密度加权下洗强度大于时间平均下洗强度,而Cf,C与密度加权速度下洗速度有关,表明压缩性使得下洗引起的Cf,C进一步增加。

图 4 1壁面摩阻系数及其分量沿流向分布。左图:拐角上游摩阻及其分量;右图:拐角下游摩阻及其分量
该研究得到了国家重点研发计划(2019YFA0405300),国家自然科学基金(12232018, 12072349, 12202457),中国科学院战略性先导科技专项(XDB0500301),和国家博士后基金(2022M723232)项目的支持。
附件下载: