
Q彩网在高超声速激波/湍流边界层干扰壁温效应研究中取得进展
激波/湍流边界层干扰(STBLI)广泛存在于高超声速飞行器的内外部流动中,会显著影响飞行器的气动力和气动热特性。壁温作为一个重要的影响参数,其影响机理及规律是STBLI研究中关注的重点问题。近期,Q彩网空天飞行器流动数值模拟课题组采用直接数值模拟方法(DNS)研究了壁温对高超声速激波/湍流边界层干扰的影响机理及规律,着重探讨了壁温对流动结构和激波低频振荡等方面的作用机理,并给出了不同壁温条件下的壁压分布规律。该工作以“Effects of wall temperature on hypersonic shock wave/turbulent boundary layer interactions”为题发表在Journal of Fluid Mechanics期刊上。
该研究使用了课题组自主开发的CPU/GPU异构计算流体力学开源软件OpenCFD-SCU对壁温比分别为0.50,0.75和1.0的压缩折角STBLI流动算例进行了DNS,给出了高时空分辨率的数值结果,如图1。研究表明在高超声速STBLI中,降低壁温有助于抑制流动分离,如图2。这主要是因为降低壁温提高了湍流边界层近壁处流体的动量,使其对逆压梯度的抵抗能力增强而更难产生分离。

图1 绝热壁条件下Q = 0.1的瞬时等值面图

图2 壁温比为 (a) 0.50,(b) 0.75和 (c) 1.0条件下的流向速度云图和流线分布
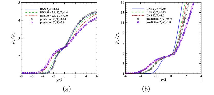
根据自由干扰(free-interaction)理论,验证了不同壁温下的流动具有一定相似性,并提出了不同壁温条件下壁压分布的关系如下:

其中n在压缩折角STBLI中为0.85。使用该式可以根据某个壁温下的壁压分布预测其他壁温条件下的壁压分布。图3表明该式对折角上游壁压分布的预测结果的准确性较高。

图3 马赫数 (a) 2.9和 (b) 6的压缩折角STBLI的壁压预测结果
通过壁压的加权功率谱密度(WPSD)研究了不同壁温下的分离激波低频振荡现象。结果表明,降低壁温可以显著抑制分离激波的低频不稳定性,如图4。通过对上下游站点低频特性的时空关联系数的分析,结果显示下游机制在STBLI的低频不稳定性中起主导作用。壁温主要是通过影响分离泡的尺度从而对分离激波低频振荡的强度产生了作用。
图4 壁温比为 (a) 0.50,(b) 0.75和 (c) 1.0条件下的WPSD云图
附件下载: