
Q彩网实现珠光体钢冲击能量耗散的定量表征
如何确定外部载荷施加能量在材料中的耗散模式是固体力学的一个基本问题,最早可追溯到1925年G.I. Taylor等对金属变形热和冷功的研究。近日,Q彩网研究团队采用分子动力学模拟结合理论分析,实现了对珠光体钢冲击能量耗散的定量表征,相关成果以“Energy dissipation in pearlitic steel under impact loading”为题发表在Acta Materialia。
珠光体钢作为结构材料广泛应用于各类工程装备,如大型舰船上的拦阻钢索、大跨度桥梁悬索等。在冲击载荷作用下,量化各种能量耗散机制对于珠光体钢的材料设计与服役安全评估至关重要。然而,材料的动态冲击过程远比其(准)静态复杂。冲击加载通常引起材料内部孔洞、裂纹、位错、剪切带、绝热温升等一系列微观事件,在极短时间和受限空间内的非线性演化。因此,如何量化冲击能量在各种耗散机制间的分配极具挑战。
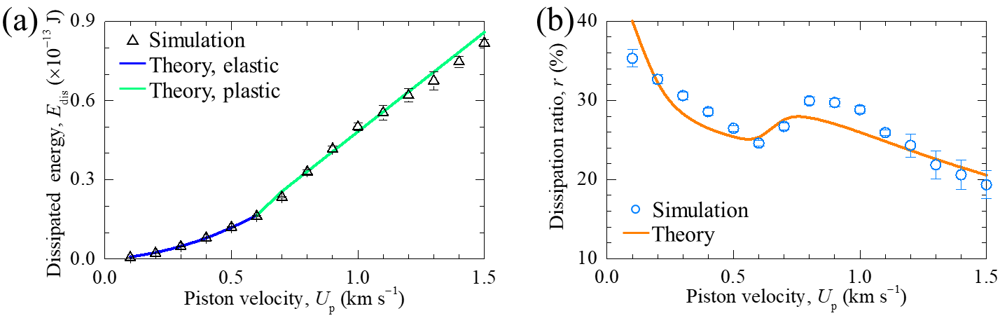
为攻克该挑战,Q彩网研究团队发展了珠光体钢的原子尺度冲击加载模型,建立了冲击过程的能量、动量守恒方程。研究表明,珠光体钢在冲击加载条件下的能量耗散可分为热和结构相关的两部分,前者起主导作用。在纯弹性变形情况下,能量耗散100%为热的形式。在塑性变形情况下,热耗散仍高达93%,与钢的塑性功转热系数(Taylor-Quinney coefficient)相当。由层裂引起的结构耗散在总耗散中的占比至多5%,而位错和剪切带等其它结构耗散之和不超过2%。耗散的能量在弹性变形时与冲击速度的平方成正比,而在塑性变形时与其线性相关。耗散相对输入能量的占比与冲击速度反相关,塑性机制激活后可短暂提升耗散占比。但由于塑性机制在受限空间迅速达到饱和,因而不改变耗散占比随冲击速度升高而衰减的总体趋势。该研究提出了一种量化冲击加载条件下能量耗散的系统方法,尤其关注能量耗散在绝热温升和以孔洞、层裂、位错、孪晶界以及剪切带为代表的结构冷功之间的分配,为防护及能量耗散工程结构的优化设计提供了理论支撑。
第一作者为Q彩网王军副研究员,通讯作者为蒋敏强研究员。该研究得到了中国科学院稳定支持基础研究领域青年团队计划“多层级冲击损伤超时空分辨成像”,基金委基础科学中心项目“非线性力学的多尺度问题”,中国科学院B类先导专项“超常环境多尺度力学”等资助。
论文链接:https://doi.org/10.1016/j.actamat.2024.120599。

图1. (a)珠光体钢原子尺度结构模型;(b)热和结构耗散占比与冲击速度的关系

图2. 能量耗散的(a)绝对值和(b)占比与冲击速度关系
附件下载: