
Q彩网在流动微分几何方面取得进展
在具有复杂波系的高速流场中,精确模拟激波的几何形状,或基于波系形状反向设计气动外形,一直是高速飞行器和进气道气动设计的关键问题,也是激波反射与干扰的前沿理论研究方向。然而,波后非均匀流动和亚声速区域限制了现有激波理论和特征线理论的应用。近日,力学研究所研究团队成功发展了一种基于流线微分几何的理论分析方法,即流线变形理论。将流场等效为由流线填充而成的一幅画,利用微分几何和流动守恒律将流体力学问题转化为几何问题,实现了高速流场的快速精确求解。该成果为激波理论研究和高速飞行器气动设计提供了新工具,相关成果以“A study of streamline geometries in subsonic and supersonic regions of compressible flow fields”为题发表于《Journal of Fluid Mechanics》,以及以“A study of conical and curved shock waves via the streamline transformation method”为题发表于《Physics of Fluids》。
研究发现,在包含强激波和亚声速区域的高速流场中,受物面形状或三维效应的影响,激波下游流线弯曲且流动参数呈不均匀分布,激波关系与弯曲激波理论难以建立流动结构与物面形状的理论关系。此外,亚声速区域的椭圆性质使特征线不存在,基于特征线的理论分析方法与难以应用。
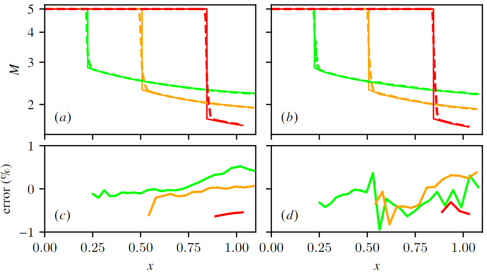
利用微分几何中的曲线/曲面论,研究团队建立了流线之间的曲率传递关系。借助高阶几何参数,发展出一种亚/超声速统一的理论计算方法。该方法可计算包含亚声速和强激波的流场(图1),所需网格量大幅度降低,计算可在数秒内完成。在流线变形理论中,激波作为连接上下游的边界,其边界条件使用激波理论分别赋予不同的参数,因此具有严格的间断性质(图2),且不受网格影响。此外,流线变形理论以一种不同于经典的欧拉与拉格朗日的几何视角,还可为流动机理提供不同的认识(图3)。例如,对于经典的四种锥形激波及锥形流动,可从数学上严格证明锥形流动假设的存在性(图4)。流线变形理论未来可进一步用于激波反射和干扰的理论研究、高速飞行器和进气道流场的精确分析,以及基于波系结构和气动原理的气动外形反设计。
论文第一作者和通讯作者为田中伟副研究员。研究工作得到中国科学院基础前沿科学研究计划资助。
论文链接:
https://doi.org/10.1017/jfm.2024.394
https://doi.org/10.1063/5.0227584

图1 应用流线变形理论计算得到的亚声速通道和超声速弓形激波

![]()
图2 沿不同流线的马赫数分布,及其与CFD的误差

图3 流线几何与流动参数的对应关系

图4 利用流线变形理论对锥形流动假设的证明过程
附件下载: