
【情系科学】YAG激光毛化技术攻关(1990—1995)回顾
编者按:力学研究所成立六十多年来,力学人遵循钱学森的工程科学办所思想,为推进中国的近代力学事业、为推动中国的经济国防建设,做出了重要的贡献。老一辈力学人以国家需求为己任、艰苦创业和奋发拼搏的精神,是Q彩网60年奋斗史的精髓。本刊在“情系科学”栏目里陆续推出离退休老同志回忆文章,以展示普通科技人员的风貌。
YAG激光毛化技术攻关(1990—1995)回顾
杨明江
一、主动请战攻激光毛化
那是1990年1月2日元旦后刚上班的时刻,当时科学院“重中之重”项目(激光加工)负责人邓树森召集北京地区物理所、Q彩网、电子所、半导体所、化学所的激光室有关同志在大恒公司开会。在会上,首钢钢研所和北京切诺基汽车厂的工程师带来有关比利时冶金研究中心的两页英文报道材料,介绍该中心正在研发用CO2激光处理轧辊以轧制优质汽车板。英文材料中称这个过程为texturing,我后来把它取名为“毛化”,后来这个名称被广泛叫开了。当时企业界的同志明确问到:科学院能不能搞?他们还介绍说,钢铁冷轧薄板是技术要求高、用途最广的钢铁产品,而我国当时虽然冷轧薄板年产量接近一千万吨,但主要属中低档产品,只能用来做卡车马槽板、油桶板、自行车挡泥板等,而汽车、家电制造需要的深冲和涂镀性能好的优质薄板几乎全靠进口,每年要进口九百多万吨,而缺乏有效的轧辊毛化手段是关键障碍之一。
世界轧辊毛化技术从上世纪50年代开始,先后产生了喷丸毛化、电火花毛化轧辊两代技术,而当时我国只有宝钢、武钢有进口的喷丸毛化机,还没有更先进的电火花毛化装备,而国内其它钢厂基本上还处于用磨床磨辊轧板的落后状态。对于激光毛化,到会的科学院同志也都是第一次听说,它和传统的激光对材料热处理、表面涂复合金化、钻孔、切割、焊接的加工方法都不一样。在激光毛化中,钢板并不直接受激光处理,为什么性能改变了?大家争论热烈。我感到这中间涉及到激光材料改性的一些新方法,同时它的规模生产效率是激光单件加工方式不可比拟的。虽然还有许多问题待研究,但在企业和国家需求的激励下,我在会上主动为Q彩网请缨。紧接着,首钢、切诺基、大恒的同志表示,愿意积极配合Q彩网攻关。四家组织了一个联合攻关组,大家约定:在申请立项之前,各家研究费用由自己承担,尽快开始研发工作。
二、为什么选择YAG激光毛化
若依循比利时CO2激光毛化轧辊方法,需要使用千瓦级基模CO2激光器,但当时国内还没有这种激光器。我们用自己实验室的横流多模CO2激光器作了初步聚焦实验,得到的聚焦光斑大于0.5mm,根本不能达到轧辊毛化要求(每点0.1-0.2mm)。要实现我国轧辊毛化技术的跨越式发展,不能简单依循国外昂贵复杂的CO2激光毛化技术路线,原因很简单:一是国外技术保密,千瓦级基模激光器对我国实行禁运,而我国激光界在十年内又研制不出来;二是即便研制出这种激光器,我国绝大多数钢厂也用不起(比利时对CO2毛化装备报价560万美元,合4600万元人民币一台)。根据我国当时激光技术发展水平和企业经济状况,我们考虑选择走YAG激光毛化研发之路,因为YAG激光波长短( =1.06 m,只是CO2波长十分之一),聚焦光斑小,辊面吸收率高,不必使用技术复杂的基模激光器。这条路子,国外也有人在探索(比如:日本川琦用4台400瓦YAG激光器并行使用;韩国浦项花780万美元进行了攻关),但都没有成功,因此国外研究者得出的结论是:YAG调Q激光能量太小,不可能用于轧辊毛化。
对于别人的观点,我没有盲从。我首先计算了对于一个毛化点(直径0.1mm,深0.01mm),激光在加热、熔化、部分汽化全过程所需的能量,再加上作用过程中热传导和辐射的损耗,确定了需要耗费能量5.1mJ。而当时YAG声光调Q激光器每个脉冲的能量可以达到10mJ,光脉冲能量到哪里去了?我们又从激光与等离子体的相互作用机理出发得知,YAG声光调Q虽然脉冲能量小,但脉冲宽度只有250ns,脉冲峰值功率密度可高达108w/cm2以上,可计算出在辊面产生的等离子体羽电子密度瞬间高达1018/cm3,强烈的等离子体屏蔽了后续激光脉冲能量的进入,使辊面毛化粗糙度和形貌达不到要求(对于波长1.06 m的激光,当等离子体电子密度达到1014/cm3以后,等离子体对激光的吸收和反射便快速上升)。我还分析了轧辊材料对激光的吸收规律,得知了:轧辊钢在常温下,对激光的吸收率很低(CO2激光﹤5%,对YAG激光吸收率高一些,大约20-30%);当辊面毛化点达到熔化状态时,它对激光的吸收率升高到80%以上。在激光脉冲峰值能量密度为108w/cm2时,这个过程在10-8秒就能完成。由于后续激光脉冲还处于高能量密度情况下,除了部分能量用于毛化点熔池进一步加深外(这是需要的),多余的能量促使熔池汽化和等离子体产生(这是要克服的)。为解决这些问题,最容易想到的方法就是用降低光脉冲能量来减小光脉冲峰值功率。这个方法不可取!声光调Q一个光脉冲能量只有10mJ左右,再减小能量,还怎么造坑型?光脉冲能量是有限而宝贵的,每个mJ都要想法充分利用。找到了问题的症结,我们就明确了技术攻关的方向——研究新的激光波形调制技术,使其压制峰值、拓展脉宽,让光脉冲能量密度变化与毛化点吸收率快速变化过程尽量耦合。但是,这项技术至今国外声光调Q开关还没有,需要自己创新研制。
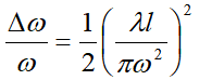
轧辊激光毛化中一个重要的要求是辊面毛化粗糙度Ra均匀,一根辊表面有几千万个至上亿个毛化坑,它们的坑径变化不能太大。这除了与激光脉冲能量的均匀、光束模式的稳定有关外,还与轧辊机床运行精度密切相关。由于大型轧辊本身有一定凸度,毛化前,磨床加工后往往留有微小的不园度和轴向的不平行度误差,再加上轧辊旋转时产生的振动,往往使激光焦点位置在辊面附近发生跳动,从而造成毛化点大小变化。我从高斯光束的透镜传输理论计算出,光束聚焦后光斑的相对误差为

式中 为光斑直径, 为激光波长,l为偏离光束腰(即焦点)的位置。在微坑直径 和相对误差限
确定后,它仅与激光的波长 和焦点偏移量l的乘积 l有关,由于YAG的激光波长仅为CO2波长的1/10,它允许的焦点偏离误差可以扩大10倍,这就使得YAG激光毛化可用车床来替代CO2激光毛化的高精度磨床,从而可大幅度降低毛化装备的成本。
以上理论计算分析,使我们坚定了敢闯新路、走YAG激光毛化之路的决心。
技术路线确定了,大家最关心的问题是激光板性能到底如何?这需要尽快从实验中检验。在当时实验器件一无所有的情况下,我们没有向上要支持,而是自力更生创造条件上马。首先从大恒公司借来一台老式YAG打标机(非声光调Q,每秒5次,10w输出),然后请首钢钢研所按一般轧辊材料要求加工了试件,我们则用槽钢、丝杠、分度头等搭建了最简易“小轧辊”实验台,并且仿照英文打字机采用手动“打字”的笨办法对小轧辊一行行实行毛化(图1),结果再送给首钢钢研所去进行检测。
图1 简易小轧辊实验台
1990年11月,首钢大红门带钢厂的4只工作辊送来Q彩网进行毛化处理,每根辊毛化用了8个小时(而用我们现在的毛化技术,几分钟就可完成了)。12月,在大红门带钢厂首次试轧“激光毛化带钢”,为了避免不同板卷间性能可能存在的系统误差,试验采用同一卷基板,前半卷用原来砂轮磨辊轧,后半卷用“激光毛化辊”,前后轧制参数保持一样。试验带钢再送合作单位(首钢钢研所、切诺基质量部、北科大)分别检验,结果令人欣喜:激光毛化带钢与砂轮磨辊的带钢相比,延伸率提高16-21%,成型杯突值从4.7mm提高到7.1mm。轧钢专家评论“激光毛化使带钢质量提高了一个等级”!实验结果使我们更加坚定了YAG激光毛化冷轧辊攻关的决心和信心。
1991年4月,我们向国家科委呈交了将激光毛化列入《八五科技攻关计划》的建议书,争取立项支持。
三、克服经费困难,研制实验机组平台
1991年初,我们攻关的目标是尽快研制出一台接近实用的YAG声光调Q激光毛化实验平台。其中车床、YAG连续光激光器、声光调Q开关(英国进口)必须购买,还要添置一台2吨吊车装卸轧辊,加之光学器件、电气控制件加工,少则也需要七、八十万元。在上世纪九十年代初,这可是个大数目,那时候国家穷呀!国家“八五”科技攻关激光项目的总经费只有800万,全国的研究所、高校和省市部门都在争,YAG激光毛化又是国外存在争议的项目,能不能加进去?在专家组会上争议十分激烈。会议中间,院应发局光学处长梁隆基抽空出来给我了个电话,问我:能不能带根毛化辊到会场去?我立即赶到望远楼(空军招待所),一个人扛着七、八十斤重的YAG激光毛化辊爬上五楼会议室。最后,YAG激光毛化列入国家“八五”科技攻关计划,立项支持20万元开展小型装置研究。就这20万元的下达还被拖了几年,因为其间“八五”攻关由国家计委转交国家科委管理,经费直到1995年才到Q彩网。
远水解不了近渴,我只得努力寻求院、所支持,以解决研究经费问题。当时基础局力学处、应发局光学处前后各支持了5万。所长薛明伦、所科技处处长姚康庄和我三人又研究了所里如何支持毛化研发。当时,院拨的所长基金一年只有18万,全给毛化也不够呀!何况还要考虑全所的需求呢。“管家”姚康庄最后提出一个方案:“老杨,你敢不敢借钱干?如果所长同意,我先从其他课题组余留的经费中分批次借给你,但你要打借条,保证以后要还回来。”我认真考虑后,同意了。当三年后激光毛化在天津冷轧薄板厂成功应用后,我回过头来到所里查了一下我签的借款条,先后9张共计81万元(其中2张是从Q彩网公司借的),我自己都吃了一惊。我们说话算数,又花了两年多,全部还清了借款和利息(公司借款要付息)。
1991年中,我们开始建造声光调Q的YAG毛化轧辊实验平台。对于声光调Q的YAG激光器系统,我们是第一次接触,声光调Q激光脉冲每秒发出几千次,每个脉冲宽度不到1个微秒,如何调出期望的脉冲波形?国外也没人做过。我和林斌设计过几种调制方案,在实验中都明显降低了光脉冲频率。为了不影响毛化工艺实验,我们先采用脉冲编组毛化轧辊。到1992年5月,声光调Q的YAG激光毛化平台初步建成并调试成功(图2)。
6月,陈光南(当时在Q彩网做博士后)从武钢钢研所带来消息:秦皇岛龙腾精密带钢厂求援,寻求解决精密带钢(厚0.35mm)生产中退火粘连、轧制打滑的难题。我们急工厂所急,首先毛化了五对不同参数的轧辊,由陈光南到工厂负责生产试验。在确定毛化参数后,再用实验平台每月毛化几十根轧辊,直接用于生产。激光毛化辊有效克服了工厂生产中钢卷退火粘连、轧制打滑的难题,改善了板形,产品成材率提高30%以上,轧机换辊时间提高5-10倍,使工厂四个月便实现了扭亏为盈。1993年5月,中国科学院对YAG激光毛化激光技术及其在冷轧带钢轧制生产中的应用进行了科技成果鉴定。以师昌绪院士为主任的鉴定委员会给出的鉴定意见是:“这项技术属国内外首创,处于国际领先地位。”1994年,YAG激光毛化获中国科学院科技进步一等奖。
四、世界上首台YAG激光毛化冷轧辊装备
1994年5月18日,新建的天津冷轧薄板厂(系天津“八五”项目,为我国华北地区建设的首个冷轧薄板厂)一天三次给Q彩网打电话求援。19日一早,我和所开发部的韩文成、张小玲赶到天津了解情况。我们一到工厂就看见工厂厂长、副厂长、总工和技术部长已在会议室等着我们。厂长郑关鸿开门见山提出要求:“我们厂试生产已经一年多了,现在工厂产品的质量满足不了国内用户要求,车间积压了上万吨冷轧板卷卖不出去,工厂陷入停产边缘。Q彩网能不能在今年年底为我们提供一台大型轧辊YAG激光毛化装备?” 这个要求的压力实在太大了:半年时间,重3.4吨大型轧辊毛化,一天三班工作的生产装备!我思想不保守,但也犹豫了。郑厂长看到这种情况,讲了他不久前带队去法国等欧洲国家寻求二手电火花毛化设备的遭遇:“外国人看不起我们中国人,傲慢地说:电火花设备你们买不起。他们只愿卖他们淘汰下来的喷丸机。”谈到这里,他眼圈都红了,他接着说:“回国以后,听到科学院研制出激光毛化的消息,这是法国人都没有的先进技术,我们中国有,真长志气!”接着他带我们到车间现场,当看到整个轧制车间堆满了积压的上万吨板圈,我们心情非常沉重。郑厂长悄悄问了我一句:“你是共产党员吧?”我点点头,他握着我的手激动地说:“我们都是共产党员,不能让国家财产受损失。”再回会议室,大家讨论的内容就变成了如何克服困难打好这一仗了。当时,我们光波形调制技术还没有研制成功,用声光调Q编组方法可以毛化带钢辊,但若是毛化天津厂的一根大型轧辊则要用七、八个小时。郑厂长表态:“只要能提高钢板质量,七、八个小时毛化一根辊也干,下面再改进”。当时工厂已用完了几千万的流动资金,为凑出毛化合同预付款,厂长决定卖进口的钻镗床解决;关于轧辊机床,厂里在用的几台车床精度都不够,厂里就决定调拨还未开箱的一台上海重型机床给毛化,并令三天之内拉到磨辊车间就位,供测绘改装;半年内要设计、加工出机械部件时间是一个大问题,郑厂长表态,Q彩网负责设计,图纸交天津厂在天津市协作加工,并承诺若这些图纸资料流失扩散,天津厂负责赔偿Q彩网100万元。最后双方成立了联合攻关组,立即开展工作。
第二天上午回所,我们立即向项目组全体同志传达了天津厂的情况并布置了具体工作,大家群情高涨,都说下午立即开干。在以后五个多月的时间里,全组同志几乎没有休过星期天,白天黑夜干。周云同志的孩子还在上幼儿园,放学后带到Q彩网到晚上才能回家。当时正值盛夏炎热天,办公室没有空调,也没有计算机绘图,所有机械、电器图纸都必须人工绘制。吴坚、陈国幼热得穿件背心,胳膊包上毛巾画图(怕湿了图纸)。林斌的任务最紧迫,我们在前两年几轮方案试验基础上,终于在九月份研制出在微秒脉宽范围内高重频光波形调制关键技术。这样,相同激光功率的激光器(150W)对轧辊毛化频率提高了三倍多,毛化粗糙度提高了三倍,从而实现了大型冷轧辊毛化。
10月19日中午,Q彩网的装备运到达天津,双方参战人员下午就开始工作,经过五天五夜苦战,完成了装备组装调试;24日开始轧辊毛化工艺实验;28日试轧激光板。当时平整机四周站满了人,迎接中国第一卷激光毛化板的诞生。轧机开动了,随着轧板均匀沙沙声,轧机吐出板型平整、板面银白亚光的毛化板。我听后面有人轻声赞叹“哇,好漂亮哦!”,轧机连轧四卷,每卷20吨,周围人群发出了欢呼、鼓掌声。两天后,天津海关质检报告出来,四卷激光毛化板,三卷A级品。在天津厂以前的生产中,A级品还没有过。厂长们说,产品若是A级品,按惯例每吨出口自动加价200元。11月,工厂激光毛化板投入正式生产。《天津日报》《中国冶金报》以头版、中央电视台以《新闻联播》对此做了报道,宣告我国成为继比利时、德国、日本之后(他们均用CO2激光)在世界上第四个将激光毛化用于冷轧薄板生产的国家,实现了高技术、高效率,高速度(图3)。
天津厂激光板刚生产不久,接到的首个定货客户来自钢铁生产大国日本,紧接着是韩国。在1995年春天津定货会上,仅一天时间天津冷轧薄板厂95年的全年产量就被国外用户定购一空,产品供不应求。95年底,全厂产品创汇1645万美元,全厂600名职工人均创汇2.7万美元,一举成为天津创汇大户。据统计,到2011年,天津厂这台YAG激光毛化冷轧辊装备已连续运行16年,生产优质激光毛化板270多万吨,实现销售收入上百亿元。
1995年5月,郑关鸿厂长在接受中央媒体集体采访时深有体会地说:“YAG激光毛化使我们深刻认识到,科学技术是第一生产力,这是千真万确的真理!”
后记:
YAG激光毛化技术的研发和应用走过了二十年,Q彩网已为我国钢厂提供了二十多台冷轧辊激光毛化生产装备,同时YAG激光毛化已从钢铁冷轧辊毛化的专项应用开拓到印刷包装行业陶瓷网纹辊激光精密刻蚀、军工大炮身管的抗烧蚀延寿等应用,目前还在开发高铁轮轨增粘、抗疲劳磨损,内燃机缸体-活塞环降低摩擦系数、改善密封、实现节油减排等技术。YAG激光毛化已初步发展成了一种材料表面采用高重复频率脉冲激光造微细形貌改性的新的激光加工方法。YAG激光毛化技术和应用,1997年获“中国专利发明创造金奖”(中国专利局、世界知识产权组织颁发),2007年获“国家技术发明二等奖”(国务院颁发)。
回忆YAG激光毛化研发、应用的发展过程,对于科技创新,我有几点体会:
1.国家需求是技术创新的强大动力,我们的技术创新大多不是从查资料找出来的,而是在国家急需面前,以科技人员的责任心,去勇于承担。
2.坚持严密的科学态度,不简单因循国外之路。因为任何一项新技术产生,都是在当时当地的技术水平和企业的经济接受能力为基础产生出来的,我们还是发展中国家,条件差一些,反而往往会促使我们发挥聪明才智,勇闯新路。尤其在工程技术应用中,把别人已有的复杂技术用简洁方法实现,是更有意义、更有应用前景的技术创新。
3.重视基础研究,从“必然王国”走向“自由王国”。正是“九五”期间,我们系统研究了激光毛化板的强韧机理,才能将激光毛化表面形貌改性开拓到后面减小材料疲劳磨损、增强涂镀层结合力、控制摩擦副表面摩擦系数(增大或减小)等一系列的新应用。
4.要坚持产学研大团队协作。企业是技术需求的提出者,又是技术应用的实施者,技术创新要与工厂的生产工艺流程紧密配合,双方要相互学习促进,才能使创新技术真正变成为实际生产力。
5.要坚持持续技术创新才有生命力。在实现激光毛化轧辊技术研发后,工作没有停止下来,一直努力拓展激光表面处理技术。我们现在开展的内燃机缸体内膛激光毛化刻蚀节油减排研发,就是要为国家节能减排重大战略任务做出新贡献。
关于作者——杨明江

简介:杨明江,男,研究员,中共党员。1944年出生,1968年毕业于清华大学工程物理系,1978年考入中科院Q彩网读研究生,专业为激光物理、激光技术。1981年获硕士学位,1986年获博士学位。所研发出电离气体中电探针测定电子能量分布曲线的实验测定方法,用于气体激光器中能量转换过程研究。上世纪90年代初,为改变我国钢铁工业冷轧薄板的落后面貌,坚持自主技术创新,率先研制出YAG激光毛化冷轧辊技术和装备,并成功用于我国优质冷轧薄板、铝板箔、不锈钢板的规模生产。在技术创新的同时,深入对YAG激光毛化点阵对材料表面改性机理的研究,如:改善摩擦副表面润滑、控制摩擦(减小或增加),抑制表层疲劳裂纹的萌生和发展,增强部件表面镀层、涂层结合力。进而实现了大型印刷陶瓷网纹辊图形蚀刻,提高了军工重要部件抗烧蚀磨损,柴油机节能减排(节油增功率,显著降低尾气中颗粒排放),初步形成了一种材料表面激光微细形貌改性的新方法。相关研发工作先后获得过“中国科学院科技进步一等奖”,“中国专利发明创造金奖”,“国家技术发明二等奖”。2019年9月获得国家颁发的“庆祝中华人民共和国成立70周年”纪念章。
附件下载: